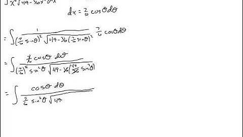
Activity 5.5.3, part c: Calculating Integral with Trig Sub and simplify to Integral Table Solution

Tonton & Download Video Musik Gratis

⬇ DOWNLOAD NOW
Kalau muncul iklan pop-up, tutup lalu klik tombol kembali

Download lagu Activity 5.5.3, part c: Calculating Integral with Trig Sub and simplify to Integral Table Solution secara gratis hanya untuk keperluan promosi. Dukung artis favorit kamu dengan membeli musik original di iTunes atau platform resmi lainnya.