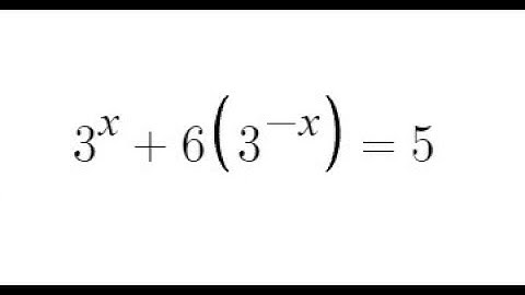
Grade 12 Advanced Functions - Solving exponential equations (ch 8.5)

Tonton & Download Video Musik Gratis

⬇ DOWNLOAD NOW
Kalau muncul iklan pop-up, tutup lalu klik tombol kembali

Download lagu Grade 12 Advanced Functions - Solving exponential equations (ch 8.5) secara gratis hanya untuk keperluan promosi. Dukung artis favorit kamu dengan membeli musik original di iTunes atau platform resmi lainnya.