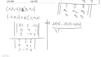
Let S be the set of all values of λ, for which the shortest distance between the lines x−λ/0=y−3/4=

Tonton & Download Video Musik Gratis

⬇ DOWNLOAD NOW
Kalau muncul iklan pop-up, tutup lalu klik tombol kembali

Download lagu Let S be the set of all values of λ, for which the shortest distance between the lines x−λ/0=y−3/4= secara gratis hanya untuk keperluan promosi. Dukung artis favorit kamu dengan membeli musik original di iTunes atau platform resmi lainnya.