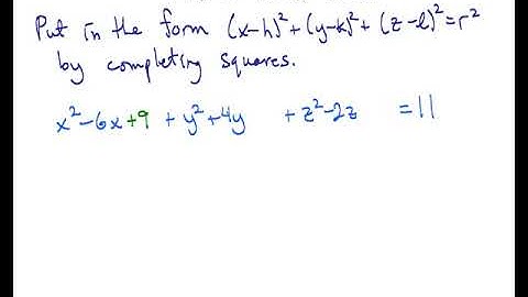
Ex: Find the Center and Radius of a Sphere Given an Equation in Standard Form

Tonton & Download Video Musik Gratis

⬇ DOWNLOAD NOW
Kalau muncul iklan pop-up, tutup lalu klik tombol kembali

Download lagu Ex: Find the Center and Radius of a Sphere Given an Equation in Standard Form secara gratis hanya untuk keperluan promosi. Dukung artis favorit kamu dengan membeli musik original di iTunes atau platform resmi lainnya.