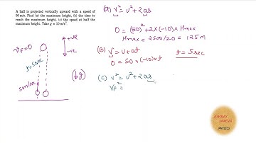
Q 23:A ball is projected vertically upward with a speed of 50 m/s. Find (a) the maximum height,

Tonton & Download Video Musik Gratis

⬇ DOWNLOAD NOW
Kalau muncul iklan pop-up, tutup lalu klik tombol kembali

Download lagu Q 23:A ball is projected vertically upward with a speed of 50 m/s. Find (a) the maximum height, secara gratis hanya untuk keperluan promosi. Dukung artis favorit kamu dengan membeli musik original di iTunes atau platform resmi lainnya.