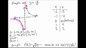
Section 3.5 - Rational Functions: Graphs, Applications and Models (Part 2)

Tonton & Download Video Musik Gratis

⬇ DOWNLOAD NOW
Kalau muncul iklan pop-up, tutup lalu klik tombol kembali

Download lagu Section 3.5 - Rational Functions: Graphs, Applications and Models (Part 2) secara gratis hanya untuk keperluan promosi. Dukung artis favorit kamu dengan membeli musik original di iTunes atau platform resmi lainnya.