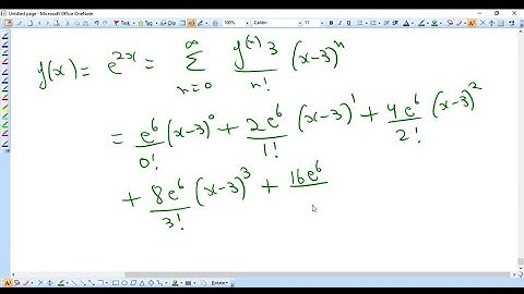
13 - 20 Find the Taylor series for f ( x ) centered at the given value of a . I Assume that f has a…

Tonton & Download Video Musik Gratis

⬇ DOWNLOAD NOW
Kalau muncul iklan pop-up, tutup lalu klik tombol kembali

Download lagu 13 - 20 Find the Taylor series for f ( x ) centered at the given value of a . I Assume that f has a… secara gratis hanya untuk keperluan promosi. Dukung artis favorit kamu dengan membeli musik original di iTunes atau platform resmi lainnya.