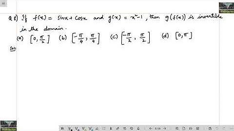
If f(x)=sin x+cos x, g(x)=x^2-1, then g(f(x)) is invertible in the domain (1) [0, π/2] (2) [-π/4,...

Tonton & Download Video Musik Gratis

⬇ DOWNLOAD NOW
Kalau muncul iklan pop-up, tutup lalu klik tombol kembali

Download lagu If f(x)=sin x+cos x, g(x)=x^2-1, then g(f(x)) is invertible in the domain (1) [0, π/2] (2) [-π/4,... secara gratis hanya untuk keperluan promosi. Dukung artis favorit kamu dengan membeli musik original di iTunes atau platform resmi lainnya.