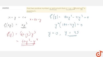
14. Find two positive number x and y such that x+y=60 and xy^3 is maximum.

Tonton & Download Video Musik Gratis

⬇ DOWNLOAD NOW
Kalau muncul iklan pop-up, tutup lalu klik tombol kembali

Download lagu 14. Find two positive number x and y such that x+y=60 and xy^3 is maximum. secara gratis hanya untuk keperluan promosi. Dukung artis favorit kamu dengan membeli musik original di iTunes atau platform resmi lainnya.