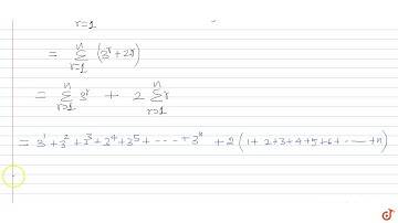
The nth term of a series is `3^n + 2n` . find the sum of first n terms of the series.

Tonton & Download Video Musik Gratis

⬇ DOWNLOAD NOW
Kalau muncul iklan pop-up, tutup lalu klik tombol kembali

Download lagu The nth term of a series is `3^n + 2n` . find the sum of first n terms of the series. secara gratis hanya untuk keperluan promosi. Dukung artis favorit kamu dengan membeli musik original di iTunes atau platform resmi lainnya.