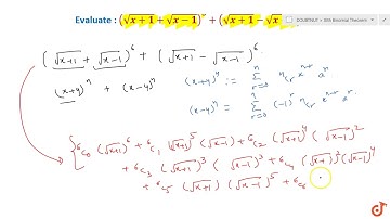
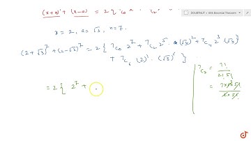
Evaluate each of the following: ltmath gt   ltmrow gt   ltmsup gt    ltmrow gt

Tonton & Download Video Musik Gratis

⬇ DOWNLOAD NOW
Kalau muncul iklan pop-up, tutup lalu klik tombol kembali

Download lagu Evaluate each of the following: ltmath gt   ltmrow gt   ltmsup gt    ltmrow gt secara gratis hanya untuk keperluan promosi. Dukung artis favorit kamu dengan membeli musik original di iTunes atau platform resmi lainnya.