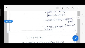
B.Sc. Part- II // MATHEMATICS // Paper-3 ( Numerical Analysis ) , Unit-3

Tonton & Download Video Musik Gratis

⬇ DOWNLOAD NOW
Kalau muncul iklan pop-up, tutup lalu klik tombol kembali

Download lagu B.Sc. Part- II // MATHEMATICS // Paper-3 ( Numerical Analysis ) , Unit-3 secara gratis hanya untuk keperluan promosi. Dukung artis favorit kamu dengan membeli musik original di iTunes atau platform resmi lainnya.