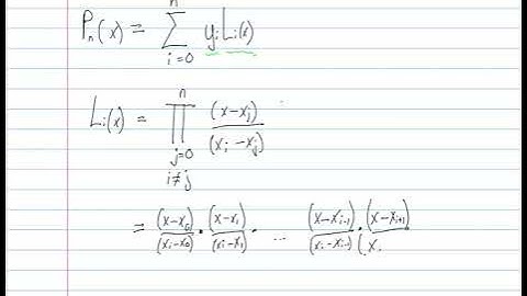
Chapter 05.04: Lesson: Lagrangian Interpolation - Theory

Tonton & Download Video Musik Gratis

⬇ DOWNLOAD NOW
Kalau muncul iklan pop-up, tutup lalu klik tombol kembali

Download lagu Chapter 05.04: Lesson: Lagrangian Interpolation - Theory secara gratis hanya untuk keperluan promosi. Dukung artis favorit kamu dengan membeli musik original di iTunes atau platform resmi lainnya.