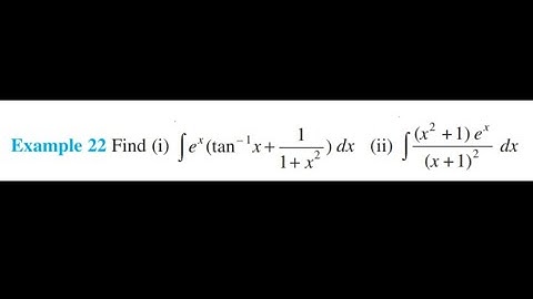
Integrals example 22 | Example 22 class 12 maths ch 7 | Example 22 integral class 12

Tonton & Download Video Musik Gratis

⬇ DOWNLOAD NOW
Kalau muncul iklan pop-up, tutup lalu klik tombol kembali

Download lagu Integrals example 22 | Example 22 class 12 maths ch 7 | Example 22 integral class 12 secara gratis hanya untuk keperluan promosi. Dukung artis favorit kamu dengan membeli musik original di iTunes atau platform resmi lainnya.