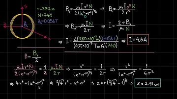
Two circular coils of radius R, each with N turns, are perpendicular to a common axis. The coil cen…

Tonton & Download Video Musik Gratis

⬇ DOWNLOAD NOW
Kalau muncul iklan pop-up, tutup lalu klik tombol kembali

Download lagu Two circular coils of radius R, each with N turns, are perpendicular to a common axis. The coil cen… secara gratis hanya untuk keperluan promosi. Dukung artis favorit kamu dengan membeli musik original di iTunes atau platform resmi lainnya.