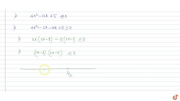
Exhaustive set of values of \( x \) satisfying \( \log _{|x|}\left(x^{2}+x+1\right) \) \( \geq 0...

Tonton & Download Video Musik Gratis

⬇ DOWNLOAD NOW
Kalau muncul iklan pop-up, tutup lalu klik tombol kembali

Download lagu Exhaustive set of values of \( x \) satisfying \( \log _{|x|}\left(x^{2}+x+1\right) \) \( \geq 0... secara gratis hanya untuk keperluan promosi. Dukung artis favorit kamu dengan membeli musik original di iTunes atau platform resmi lainnya.