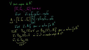
Post bac matrice dans la base canonique d'une projection sur un plan parallèlement à une droite

Tonton & Download Video Musik Gratis

⬇ DOWNLOAD NOW
Kalau muncul iklan pop-up, tutup lalu klik tombol kembali

Download lagu Post bac matrice dans la base canonique d'une projection sur un plan parallèlement à une droite secara gratis hanya untuk keperluan promosi. Dukung artis favorit kamu dengan membeli musik original di iTunes atau platform resmi lainnya.