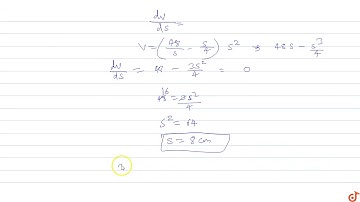
Formula Maximum Volume Minimum Surface Area Open Top Square Base Prism

Tonton & Download Video Musik Gratis

⬇ DOWNLOAD NOW
Kalau muncul iklan pop-up, tutup lalu klik tombol kembali

Download lagu Formula Maximum Volume Minimum Surface Area Open Top Square Base Prism secara gratis hanya untuk keperluan promosi. Dukung artis favorit kamu dengan membeli musik original di iTunes atau platform resmi lainnya.