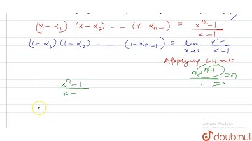
If `1,alpha_1, alpha_2, …alpha_(n-1)` be nth roots of unity then `(1+alpha_1)(1+alpha_2)……....

Tonton & Download Video Musik Gratis

⬇ DOWNLOAD NOW
Kalau muncul iklan pop-up, tutup lalu klik tombol kembali

Download lagu If `1,alpha_1, alpha_2, …alpha_(n-1)` be nth roots of unity then `(1+alpha_1)(1+alpha_2)…….... secara gratis hanya untuk keperluan promosi. Dukung artis favorit kamu dengan membeli musik original di iTunes atau platform resmi lainnya.