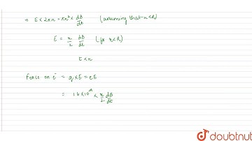
A uniform but time varying magnetic field exists in a cylindrical region as shown in the figure....

Tonton & Download Video Musik Gratis

⬇ DOWNLOAD NOW
Kalau muncul iklan pop-up, tutup lalu klik tombol kembali

Download lagu A uniform but time varying magnetic field exists in a cylindrical region as shown in the figure.... secara gratis hanya untuk keperluan promosi. Dukung artis favorit kamu dengan membeli musik original di iTunes atau platform resmi lainnya.