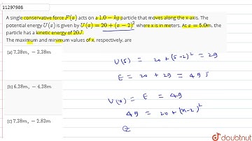
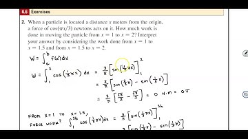
A force F = (cx-3.00x^2)i acts on a particle as the particle moves along an x axis

Tonton & Download Video Musik Gratis

⬇ DOWNLOAD NOW
Kalau muncul iklan pop-up, tutup lalu klik tombol kembali

Download lagu A force F = (cx-3.00x^2)i acts on a particle as the particle moves along an x axis secara gratis hanya untuk keperluan promosi. Dukung artis favorit kamu dengan membeli musik original di iTunes atau platform resmi lainnya.