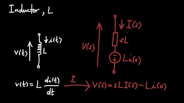
Model circuit in S domain. Laplace transform for a circuit, inductor and capacitor transformation

Tonton & Download Video Musik Gratis

⬇ DOWNLOAD NOW
Kalau muncul iklan pop-up, tutup lalu klik tombol kembali

Download lagu Model circuit in S domain. Laplace transform for a circuit, inductor and capacitor transformation secara gratis hanya untuk keperluan promosi. Dukung artis favorit kamu dengan membeli musik original di iTunes atau platform resmi lainnya.