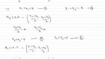
In a triangle ABC the midpoints of the sides AB, BC and AC are (1,4)(2,0) and (-4,1) respectively. F

Tonton & Download Video Musik Gratis

⬇ DOWNLOAD NOW
Kalau muncul iklan pop-up, tutup lalu klik tombol kembali

Download lagu In a triangle ABC the midpoints of the sides AB, BC and AC are (1,4)(2,0) and (-4,1) respectively. F secara gratis hanya untuk keperluan promosi. Dukung artis favorit kamu dengan membeli musik original di iTunes atau platform resmi lainnya.