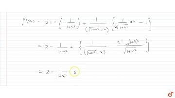
f(x)=2x-tan^-x-log{x+rt(x^2+1)} is monotonically increasing |RD Sharma|12|Part 1|2023|AOD|CBSE|MCQ

Tonton & Download Video Musik Gratis

⬇ DOWNLOAD NOW
Kalau muncul iklan pop-up, tutup lalu klik tombol kembali

Download lagu f(x)=2x-tan^-x-log{x+rt(x^2+1)} is monotonically increasing |RD Sharma|12|Part 1|2023|AOD|CBSE|MCQ secara gratis hanya untuk keperluan promosi. Dukung artis favorit kamu dengan membeli musik original di iTunes atau platform resmi lainnya.