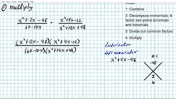
How to multiply and divide rationals algebra 2 part II common core regents 5.2 mc dougal littell

Tonton & Download Video Musik Gratis

⬇ DOWNLOAD NOW
Kalau muncul iklan pop-up, tutup lalu klik tombol kembali

Download lagu How to multiply and divide rationals algebra 2 part II common core regents 5.2 mc dougal littell secara gratis hanya untuk keperluan promosi. Dukung artis favorit kamu dengan membeli musik original di iTunes atau platform resmi lainnya.