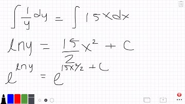
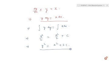
Find equation of curve that passes through point (0,1) and whose slope (x,y) is xy

Tonton & Download Video Musik Gratis

⬇ DOWNLOAD NOW
Kalau muncul iklan pop-up, tutup lalu klik tombol kembali

Download lagu Find equation of curve that passes through point (0,1) and whose slope (x,y) is xy secara gratis hanya untuk keperluan promosi. Dukung artis favorit kamu dengan membeli musik original di iTunes atau platform resmi lainnya.