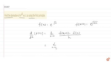
differentiation of ⅇ^√x with respect to x using first principle| class 11 & 12 derivatives| maths

Tonton & Download Video Musik Gratis

⬇ DOWNLOAD NOW
Kalau muncul iklan pop-up, tutup lalu klik tombol kembali

Download lagu differentiation of ⅇ^√x with respect to x using first principle| class 11 & 12 derivatives| maths secara gratis hanya untuk keperluan promosi. Dukung artis favorit kamu dengan membeli musik original di iTunes atau platform resmi lainnya.