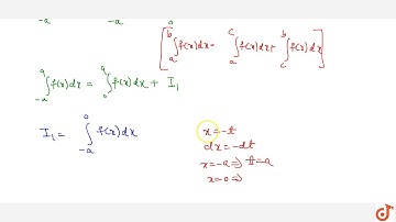
If f(x)\nis a continuous function defined on [0,\\ 2a]dot\\ \nThen prove that int_0^(2a)f(x)dx=i...

Tonton & Download Video Musik Gratis

⬇ DOWNLOAD NOW
Kalau muncul iklan pop-up, tutup lalu klik tombol kembali

Download lagu If f(x)\nis a continuous function defined on [0,\\ 2a]dot\\ \nThen prove that int_0^(2a)f(x)dx=i... secara gratis hanya untuk keperluan promosi. Dukung artis favorit kamu dengan membeli musik original di iTunes atau platform resmi lainnya.