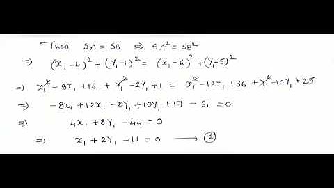
Find the equation of the circle passing through the points (4, 1) and (6, 5) and whose centre is...

Tonton & Download Video Musik Gratis

⬇ DOWNLOAD NOW
Kalau muncul iklan pop-up, tutup lalu klik tombol kembali

Download lagu Find the equation of the circle passing through the points (4, 1) and (6, 5) and whose centre is... secara gratis hanya untuk keperluan promosi. Dukung artis favorit kamu dengan membeli musik original di iTunes atau platform resmi lainnya.