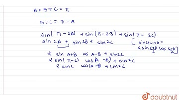
In triangle ABC, prove that sin(B+C-A)+sin(C+A-B)+sin(A+B-C)=4sin A sin B sin C. | 12 | TRIGONO...

Tonton & Download Video Musik Gratis

⬇ DOWNLOAD NOW
Kalau muncul iklan pop-up, tutup lalu klik tombol kembali

Download lagu In triangle ABC, prove that sin(B+C-A)+sin(C+A-B)+sin(A+B-C)=4sin A sin B sin C. | 12 | TRIGONO... secara gratis hanya untuk keperluan promosi. Dukung artis favorit kamu dengan membeli musik original di iTunes atau platform resmi lainnya.