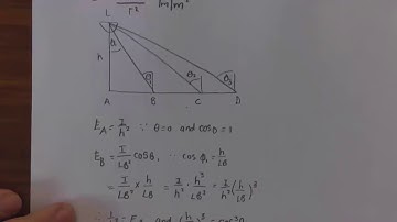
equation for illuminance of a point source to numerical problems EOT 1 QUESTION 24 PART 2

Tonton & Download Video Musik Gratis

⬇ DOWNLOAD NOW
Kalau muncul iklan pop-up, tutup lalu klik tombol kembali

Download lagu equation for illuminance of a point source to numerical problems EOT 1 QUESTION 24 PART 2 secara gratis hanya untuk keperluan promosi. Dukung artis favorit kamu dengan membeli musik original di iTunes atau platform resmi lainnya.