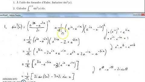
[RévisionsBac.com] - Application ; linéarisation par formules d'Euler

Tonton & Download Video Musik Gratis

⬇ DOWNLOAD NOW
Kalau muncul iklan pop-up, tutup lalu klik tombol kembali

Download lagu [RévisionsBac.com] - Application ; linéarisation par formules d'Euler secara gratis hanya untuk keperluan promosi. Dukung artis favorit kamu dengan membeli musik original di iTunes atau platform resmi lainnya.