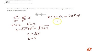
find the coordinates of the foci and the vertices, the eccentricity and the len|| Worldeez Academy

Tonton & Download Video Musik Gratis

⬇ DOWNLOAD NOW
Kalau muncul iklan pop-up, tutup lalu klik tombol kembali

Download lagu find the coordinates of the foci and the vertices, the eccentricity and the len|| Worldeez Academy secara gratis hanya untuk keperluan promosi. Dukung artis favorit kamu dengan membeli musik original di iTunes atau platform resmi lainnya.