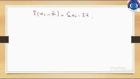
#Algebraic properties of Arithmetic Mean #measurement of Central tendency (22)#statistics#mean

Tonton & Download Video Musik Gratis

⬇ DOWNLOAD NOW
Kalau muncul iklan pop-up, tutup lalu klik tombol kembali

Download lagu #Algebraic properties of Arithmetic Mean #measurement of Central tendency (22)#statistics#mean secara gratis hanya untuk keperluan promosi. Dukung artis favorit kamu dengan membeli musik original di iTunes atau platform resmi lainnya.