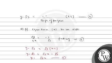
the area triangle formed by the + x-axis and normal and tangent to the circle X^2+Y^2=4 at (1,√3)

Tonton & Download Video Musik Gratis

⬇ DOWNLOAD NOW
Kalau muncul iklan pop-up, tutup lalu klik tombol kembali

Download lagu the area triangle formed by the + x-axis and normal and tangent to the circle X^2+Y^2=4 at (1,√3) secara gratis hanya untuk keperluan promosi. Dukung artis favorit kamu dengan membeli musik original di iTunes atau platform resmi lainnya.