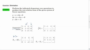
6-1 Ex 1: Solving a linear system by Gaussian Elimination

Tonton & Download Video Musik Gratis

⬇ DOWNLOAD NOW
Kalau muncul iklan pop-up, tutup lalu klik tombol kembali

Download lagu 6-1 Ex 1: Solving a linear system by Gaussian Elimination secara gratis hanya untuk keperluan promosi. Dukung artis favorit kamu dengan membeli musik original di iTunes atau platform resmi lainnya.