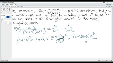
IB Math A&A HL 8C: Binomial Expansion with Rational Exponents

Tonton & Download Video Musik Gratis

⬇ DOWNLOAD NOW
Kalau muncul iklan pop-up, tutup lalu klik tombol kembali

Download lagu IB Math A&A HL 8C: Binomial Expansion with Rational Exponents secara gratis hanya untuk keperluan promosi. Dukung artis favorit kamu dengan membeli musik original di iTunes atau platform resmi lainnya.