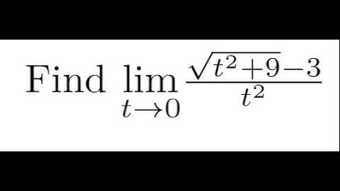
11th Std Maths Example 9.15 Find lim as t approaches 0 √t²+9-3\t²

Tonton & Download Video Musik Gratis

⬇ DOWNLOAD NOW
Kalau muncul iklan pop-up, tutup lalu klik tombol kembali

Download lagu 11th Std Maths Example 9.15 Find lim as t approaches 0 √t²+9-3\t² secara gratis hanya untuk keperluan promosi. Dukung artis favorit kamu dengan membeli musik original di iTunes atau platform resmi lainnya.