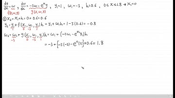
[사마귀 Octave, MATLAB 수치해석] 43. 2개의 First ODE에 대한 Modified Euler Method

Tonton & Download Video Musik Gratis

⬇ DOWNLOAD NOW
Kalau muncul iklan pop-up, tutup lalu klik tombol kembali

Download lagu [사마귀 Octave, MATLAB 수치해석] 43. 2개의 First ODE에 대한 Modified Euler Method secara gratis hanya untuk keperluan promosi. Dukung artis favorit kamu dengan membeli musik original di iTunes atau platform resmi lainnya.