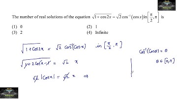
If cot^-1(√cos - tan^-1√cosx = x then sinx is equal to? JEE Mains test series Inverse Trigonometry

Tonton & Download Video Musik Gratis

⬇ DOWNLOAD NOW
Kalau muncul iklan pop-up, tutup lalu klik tombol kembali

Download lagu If cot^-1(√cos - tan^-1√cosx = x then sinx is equal to? JEE Mains test series Inverse Trigonometry secara gratis hanya untuk keperluan promosi. Dukung artis favorit kamu dengan membeli musik original di iTunes atau platform resmi lainnya.