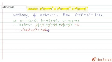
Factorize : `p^3(q-r)^3+q^3(r-p)^3+r^3(p-q)^3`

Tonton & Download Video Musik Gratis

⬇ DOWNLOAD NOW
Kalau muncul iklan pop-up, tutup lalu klik tombol kembali

Download lagu Factorize : `p^3(q-r)^3+q^3(r-p)^3+r^3(p-q)^3` secara gratis hanya untuk keperluan promosi. Dukung artis favorit kamu dengan membeli musik original di iTunes atau platform resmi lainnya.