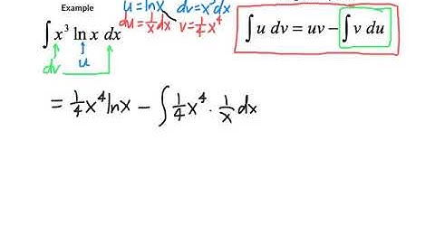
Integration by Parts || Integration of log x || Class 11 maths || Integration by @MindYourChoices

Tonton & Download Video Musik Gratis

⬇ DOWNLOAD NOW
Kalau muncul iklan pop-up, tutup lalu klik tombol kembali

Download lagu Integration by Parts || Integration of log x || Class 11 maths || Integration by @MindYourChoices secara gratis hanya untuk keperluan promosi. Dukung artis favorit kamu dengan membeli musik original di iTunes atau platform resmi lainnya.