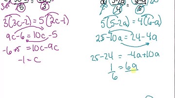
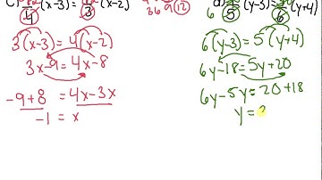
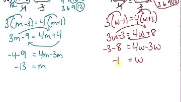
4.3 SOLVING EQUATIONS INVOLVING FRACTIONS

Tonton & Download Video Musik Gratis

⬇ DOWNLOAD NOW
Kalau muncul iklan pop-up, tutup lalu klik tombol kembali

Download lagu 4.3 SOLVING EQUATIONS INVOLVING FRACTIONS secara gratis hanya untuk keperluan promosi. Dukung artis favorit kamu dengan membeli musik original di iTunes atau platform resmi lainnya.