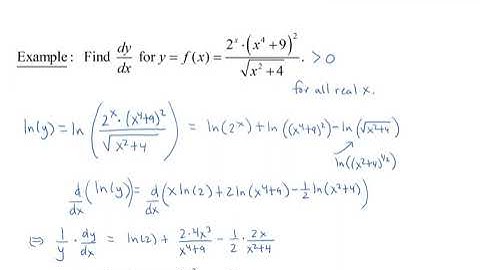
Differentiation by using logarithm or logarithmic differentiation Function Lecture 4 #kamaldheeriya

Tonton & Download Video Musik Gratis

⬇ DOWNLOAD NOW
Kalau muncul iklan pop-up, tutup lalu klik tombol kembali

Download lagu Differentiation by using logarithm or logarithmic differentiation Function Lecture 4 #kamaldheeriya secara gratis hanya untuk keperluan promosi. Dukung artis favorit kamu dengan membeli musik original di iTunes atau platform resmi lainnya.