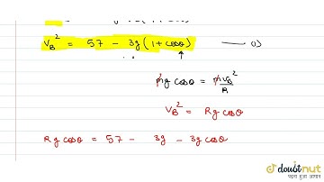
A heavy particle is suspended by a 1.5  m long string. It is given a horizontal velocity of √(57)...

Tonton & Download Video Musik Gratis

⬇ DOWNLOAD NOW
Kalau muncul iklan pop-up, tutup lalu klik tombol kembali

Download lagu A heavy particle is suspended by a 1.5  m long string. It is given a horizontal velocity of √(57)... secara gratis hanya untuk keperluan promosi. Dukung artis favorit kamu dengan membeli musik original di iTunes atau platform resmi lainnya.