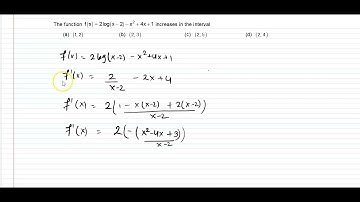
The function f(x)=2log(x-2)-x^2+4x+1 increases on the interval|MCQ|RD Sharma|12|Part 1|2023|AOD|CBSE

Tonton & Download Video Musik Gratis

⬇ DOWNLOAD NOW
Kalau muncul iklan pop-up, tutup lalu klik tombol kembali

Download lagu The function f(x)=2log(x-2)-x^2+4x+1 increases on the interval|MCQ|RD Sharma|12|Part 1|2023|AOD|CBSE secara gratis hanya untuk keperluan promosi. Dukung artis favorit kamu dengan membeli musik original di iTunes atau platform resmi lainnya.