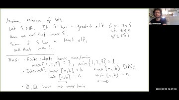
Real Analysis | TIFR Math GS 2020 True False 3 | Properties of Limit Supremum and Infimum

Tonton & Download Video Musik Gratis

⬇ DOWNLOAD NOW
Kalau muncul iklan pop-up, tutup lalu klik tombol kembali

Download lagu Real Analysis | TIFR Math GS 2020 True False 3 | Properties of Limit Supremum and Infimum secara gratis hanya untuk keperluan promosi. Dukung artis favorit kamu dengan membeli musik original di iTunes atau platform resmi lainnya.