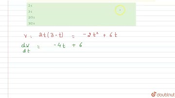
The displacement of a particle in time t is given by `s=2t^2-3t+1`. The acceleration is

Tonton & Download Video Musik Gratis

⬇ DOWNLOAD NOW
Kalau muncul iklan pop-up, tutup lalu klik tombol kembali

Download lagu The displacement of a particle in time t is given by `s=2t^2-3t+1`. The acceleration is secara gratis hanya untuk keperluan promosi. Dukung artis favorit kamu dengan membeli musik original di iTunes atau platform resmi lainnya.