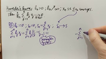
17 Kronecker's theorem | Abstract Algebra | MSc Maths | Second Semester | Calicut | MTH2C06

Tonton & Download Video Musik Gratis

⬇ DOWNLOAD NOW
Kalau muncul iklan pop-up, tutup lalu klik tombol kembali

Download lagu 17 Kronecker's theorem | Abstract Algebra | MSc Maths | Second Semester | Calicut | MTH2C06 secara gratis hanya untuk keperluan promosi. Dukung artis favorit kamu dengan membeli musik original di iTunes atau platform resmi lainnya.