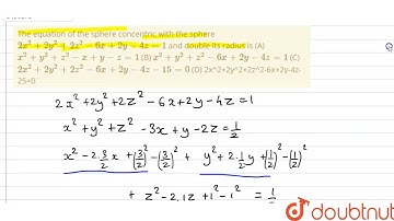
Find the equation of sphere concentric with sphere \( 2 x^{2}+2 y^{...

Tonton & Download Video Musik Gratis

⬇ DOWNLOAD NOW
Kalau muncul iklan pop-up, tutup lalu klik tombol kembali

Download lagu Find the equation of sphere concentric with sphere \( 2 x^{2}+2 y^{... secara gratis hanya untuk keperluan promosi. Dukung artis favorit kamu dengan membeli musik original di iTunes atau platform resmi lainnya.